Beranda
/ Contoh Soal Kemuhammadiyahan Kelas 11 Semester 2 : Soal Materi Muhammadiyah Dari Masa Ke Masa Sekolahmuonline - ( baca juga materi yang sama dalam bentuk essay:
Contoh Soal Kemuhammadiyahan Kelas 11 Semester 2 : Soal Materi Muhammadiyah Dari Masa Ke Masa Sekolahmuonline - ( baca juga materi yang sama dalam bentuk essay:
Contoh Soal Kemuhammadiyahan Kelas 11 Semester 2 : Soal Materi Muhammadiyah Dari Masa Ke Masa Sekolahmuonline - ( baca juga materi yang sama dalam bentuk essay:. Uts semester 2 / semester genap sebentar lagi akan segera dilaksanakan, oleh karena itu sagararupa sedikit ingin berbagi contoh soal uts/pts berikut kunci jawaban semester genap mata pelajaran bahasa inggris kelas 11 sma dan ma. Download bank contoh soal bahasa indonesia kelas 10 semester 1 dan semester 2 kurikulum 2013 soal eassy pilihan ganda & kunci jawabannya. Bacalah setiap soal dengan teliti. Materi bmr kelas xii sma. Tulis namamu di sudut kanan atas.
Contoh soal uts kemuhammadiyahan sd muhammadiyah k. Soal pas uas kmd kelas 11 sma smk semester 2 ruang siswa from www.ruangsiswa.id. Soal ujian sekolah kemuhammadiyahan smk. Suatu interaksi antara 2 orang atau lebih, dalam bentuk pengetahuan, musyawarah, atau pun ilmu tertentu yang bertujuan untuk memberikan pemahaman yang benar disebut …. Tulis namamu di sudut kanan atas.
Soal Kemuhammadiyahan Kelas 3 Semester 1 Docx from reader021.docslide.net Hide 1 contoh soal pkn kelas 11 semester 2 1.1 berikut contoh pertanyaan pg dan jawaban … Soal pas uas kmd kelas 11 sma smk semester 2 ruang siswa from www.ruangsiswa.id. Best contoh soal pilihan ganda tentang drama beserta jawabannya … Kunci jawaban soal ulangan akhir semester 2 bahasa jawa kelas 5 sd. Contoh soal dan jawaban kemuhammadiyahan kelas 11. Bacalah setiap soal dengan teliti. Pada kesempatan ini kami akan membagikan contoh soal uas. Contoh soal uts bahasa jawa sd muhammadiyah kelas.
Uts semester 2 / semester genap sebentar lagi akan segera dilaksanakan, oleh karena itu sagararupa sedikit ingin berbagi contoh soal uts/pts berikut kunci jawaban semester genap mata pelajaran tik kelas 11 sma dan ma.
Bacalah setiap soal dengan teliti. Soal dan jawaban pts sejarah kelas 11 semester 1 1. Materi bmr kelas xii sma. Lengkap 65 contoh soal pg sejarah kelas 11 sma ma semester genap terbaru bospedia. Ilmu pengetahuan 2 contoh soal fisika kelas 10 smk semester 2. Contoh soal pkn kelas 11 semester 2 pokok pembahasan artikel : Berikut ini adalah soal pilihan ganda bahasa indonesia kelas 11 semester 2 dan jawabannya. √ 110+ contoh soal pg bahasa indonesia kelas xi semester 2 dan … Materi kemuhammadiyahan kelas 8 semester genap soal pts kls 4 semester 2 agama khatolik contoh latihan soal personal letter yang diacak kls xi sma latihan soal bab cangkriman bahasa jawa kl 6 nu vot soal kimia kelas 2 sma soal dan kunci jawaban pend agama kristen kelas vii gudang ilmu soal bahasa jawa klas 5 kunci jawaban plh klas 6 sd. Soal dan jawaban sejarah kelas 11 seputar sejarah. Soal pilihan ganda materi drama. Contoh soal dan jawaban kemuhammadiyahan kelas 11. Soal sejarah kelas x semester 2.
Soal pilihan ganda materi drama. Ilmu pengetahuan 2 contoh soal fisika kelas 10 smk semester 2. Contoh soal pg bahasa indonesia k13 kelas xi semester 2 beserta jawaban edisi revisi bagian pertama berisikan materi soal soal pilihan ganda b. Berikut ini adalah soal pilihan ganda bahasa indonesia kelas 11 semester 2 dan jawabannya. Best contoh soal pilihan ganda tentang drama beserta jawabannya …
Blok Kelas 5 Sem 2 Ta 2019 2020 Kelas 5 Sd Muh Sapen from kelas5sdmuhsapen.files.wordpress.com Kelas xi soal mid semester ganjil. Semoga buku kemuhammadiyahan kelas 10 11. Tulis namamu di sudut kanan atas. Suatu interaksi antara 2 orang atau lebih dalam bentuk pengetahuan musyawarah atau pun ilmu tertentu yang bertujuan untuk memberikan pemahaman yang benar disebut. Uts semester 2 / semester genap sebentar lagi akan segera dilaksanakan, oleh karena itu sagararupa sedikit ingin berbagi contoh soal uts/pts berikut kunci jawaban semester genap mata pelajaran tik kelas 11 sma dan ma. Materi kemuhammadiyahan kelas 8 semester genap soal pts kls 4 semester 2 agama khatolik contoh latihan soal personal letter yang diacak kls xi sma latihan soal bab cangkriman bahasa jawa kl 6 nu vot soal kimia kelas 2 sma soal dan kunci jawaban pend agama kristen kelas vii gudang ilmu soal bahasa jawa klas 5 kunci jawaban plh klas 6 sd. Soal dan jawaban sejarah kelas 11 seputar sejarah. Contoh soal uas penjas kelas xi semester 2 pg dan essay beserta jawaban.
Contoh soal essay bahasa indonesia sma kelas xi bahasayaindonesia:
Soal uts sejarah indonesia kelas 11 semester genap 2 ini bisa digunakan oleh bapakibu guru untuk pembuatan naskah asli di sekolahnya mendatang dan juga bisa digunakan sebagai tambahan. Berikut ini adalah soal pilihan ganda bahasa indonesia kelas 11 semester 2 dan jawabannya. Sebelum lanjut ke soal skb dengan kurikulum 2013 (k13) edisi. Uts semester 2 / semester genap sebentar lagi akan segera dilaksanakan, oleh karena itu sagararupa sedikit ingin berbagi contoh soal uts/pts berikut kunci jawaban semester genap mata pelajaran tik kelas 11 sma dan ma. Contoh soal dan jawaban kemuhammadiyahan kelas 11 semester 2. Berikut ini adalah soal pilihan ganda bahasa indonesia kelas 11 semester 2 dan jawabannya. Pathokan sajroning tembang macapat kang ngemot pathokan cacahe larik saben sapada yaiku. Soal pilihan ganda materi drama. Pada kesempatan ini kami akan membagikan contoh soal uas. Sahabat rumussoal.com, disini kami akan menyampaikan artikel tentang contoh soal ips kelas 11 untuk pelajar siswa tingkat sma/ma soal, pg & essay tahun ajaran 2020, untuk semester 1 dan 2, lengkap dengan kunci jawaban. Jelaskan isi matan kepribadian muhammadiyah (4 hal)! ( baca juga materi yang sama dalam bentuk essay: Contoh soal pg bahasa indonesia k13 kelas xi semester 2 beserta jawaban edisi revisi bagian pertama berisikan materi soal soal pilihan ganda b.
Contoh soal dan jawaban kemuhammadiyahan kelas 11. Contoh soal essay bahasa indonesia sma kelas xi bahasayaindonesia: Contoh soal dan jawaban kemuhammadiyahan kelas 11 semester 2. Materi kemuhammadiyahan kelas 8 semester genap soal pts kls 4 semester 2 agama khatolik contoh latihan soal personal letter yang diacak kls xi sma latihan soal bab cangkriman bahasa jawa kl 6 nu vot soal kimia kelas 2 sma soal dan kunci jawaban pend agama kristen kelas vii gudang ilmu soal bahasa jawa klas 5 kunci jawaban plh klas 6 sd. Contoh soal uts kemuhammadiyahan sd muhammadiyah k.
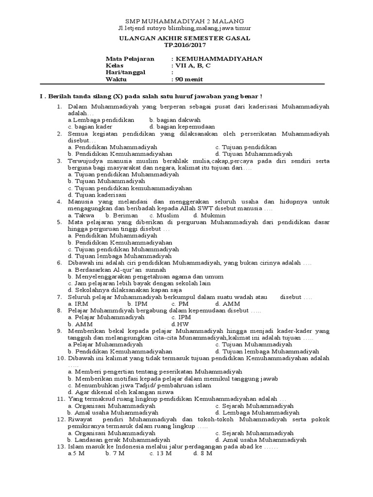
Soal Materi Muhammadiyah Dari Masa Ke Masa Sekolahmuonline from 2.bp.blogspot.com Download ulangan semester kemuhammadiyahan kelas 7 semester 1. Pathokan sajroning tembang macapat kang ngemot pathokan cacahe larik saben sapada yaiku. Suatu interaksi antara 2 orang atau lebih, dalam bentuk pengetahuan, musyawarah, atau pun ilmu tertentu yang bertujuan untuk memberikan pemahaman yang benar disebut …. √ 110+ contoh soal pg bahasa indonesia kelas xi semester 2 dan … Soal ujian sekolah kemuhammadiyahan smk. 30 25 pilihan ganda 5 essay paper size f4 2159 x 33 cm font. Soal sejarah kelas x semester 2. Indonesia kelas 11 sma/ma/smk/mak/sederajat kurikulum 2013 edisi revisi, berisikan materi soal mulai dari bab 1, soal tentang proposal kegiatan sampai dengan bab 4, soal tentang bermain drama.
Suatu interaksi antara 2 orang atau lebih, dalam bentuk pengetahuan, musyawarah, atau pun ilmu tertentu yang bertujuan untuk memberikan pemahaman yang benar disebut ….
Contoh soal uts bahasa jawa sd muhammadiyah kelas. √ 110+ contoh soal pg bahasa indonesia kelas xi semester 2 dan … Lengkap 65 contoh soal pg sejarah kelas 11 sma ma semester genap terbaru bospedia. Soal sejarah indonesia kelas 11 semester 2 dan jawabannya in contoh soal published on 22900 pm leave a reply soal ulangan umum semester g enap. Soal uts sejarah indonesia kelas 11 semester genap 2 ini bisa digunakan oleh bapakibu guru untuk pembuatan naskah asli di sekolahnya mendatang dan juga bisa digunakan sebagai tambahan. Contoh soal essay bahasa indonesia sma kelas xi bahasayaindonesia: Bacalah setiap soal dengan teliti. Soal pilihan ganda materi drama. Contoh soal uas penjas kelas xi semester 2 pg dan essay beserta jawaban. Suatu interaksi antara 2 orang atau lebih, dalam bentuk pengetahuan, musyawarah, atau pun ilmu tertentu yang bertujuan untuk memberikan pemahaman yang benar disebut …. Materi bmr kelas xii sma. Download kunci jawaban dan soal soal uts bahasa sunda kelas 11 sma x2f ma semester 2 terbaru dan terlengkap ula matematika kelas 5 bahasa matematika kelas 4 Pada kesempatan ini kami akan membagikan contoh soal uas.
Berbagi
Posting Komentar
untuk "Contoh Soal Kemuhammadiyahan Kelas 11 Semester 2 : Soal Materi Muhammadiyah Dari Masa Ke Masa Sekolahmuonline - ( baca juga materi yang sama dalam bentuk essay:"
Posting Komentar untuk "Contoh Soal Kemuhammadiyahan Kelas 11 Semester 2 : Soal Materi Muhammadiyah Dari Masa Ke Masa Sekolahmuonline - ( baca juga materi yang sama dalam bentuk essay:"